【平成28年度】1級管工事施工管理技士 過去問と解答【学科試験】

平成28年度の1級管工事施工管理技士の過去問と解答となります!
1級管工事施工管理技士の過去問【平成28年度】

1級管工事施工管理技士の平成28年度の過去問と解答を掲載しています。
| 出題 | 出題項目 | 出題選択 |
|---|---|---|
| No,01~14問A | 一般原論、電気・建築 | 14問中14問解答(必須) |
| No,15~37問A | 空調、給排水衛生 | 23問中12問解答(選択) |
| No,38~44問A | 機器材料、設計図書 | 7問中7問解答(必須) |
| No,01~17問B | 施工管理法 | 17問中17問解答(必須) |
| No,18~29問B | 関連法規 | 12問中10問解答(選択) |
《1級管工事の合格基準》
- 73問中60問を解答し『36問』以上に正解すること
で1級管工事施工管理技士の学科試験に合格となります。
【過去問】No,01~14問A 一般原論、電気・建築

問題番号No,1(A)からNo,14(A)までの14問は必須問題となるので、全問を解答してください。
【No,1(A)】地球環境問題に関する記述のうち、適当でないものはどれか。
- オゾン層が破壊されると、太陽光に含まれる紫外線の地表への到達量が増大して、生物に悪影響を及ぼす。
- 指定フロン(HCFC)は、補充用を除き2020年までに、生産・輸出入が禁止されることになっている。
- FC-134a は、オゾン層破壊係数0(ゼロ)の代替フロンとして開発されたが、地球温暖化係数が高いため普及していない。
- アンモニア(NH3)は、オゾン層破壊係数は大きいが、地球温暖化係数が0(ゼロ)の自然冷媒である。
過去問の解答を表示する
解答(4)
【No,2(A)】室内の空気環境に関する記述のうち、適当でないものはどれか。
- 燃焼において、一般に、酸素濃度が19%を下回ると不完全燃焼が著しくなり、一酸化炭素の発生量が多くなる。
- 臭気は、臭気強度や臭気指数で表され、空気汚染を知る指標とされている。
- ホルムアルデヒドは、シックハウス症候群の原因物質の1つであるが、濃度が0.1 mg/m³程度になると死に至ることもある。
- 浮遊粉じんの環境基準値は、重量濃度で示されている。
過去問の解答を表示する
解答(3)
【No,3(A)】水質に関する記述のうち、適当でないものはどれか。
- ノルマルヘキサン抽出物質含有量とは、ノルマルヘキサンに可溶性のある油分などのことをいい、主に動植物油脂類と鉱物油などの油状物質量のことである。
- CODとは、水中に含まれる有機物及び無機性亜酸化物の量を示す指標として用いられ、微生物によって酸化分解される際に消費する酸素量で表される。
- TOC とは、水中に存在する有機物に含まれる炭素の総量で、水中の総炭素量から無機性炭素量を引いて求めたものである。
- DOとは、水中に溶けている酸素のことで、水中生物の活動に影響を与えるため水質の重要な測定項目である。
過去問の解答を表示する
解答(2)
【No,4(A)】流体に関する記述のうち、適当でないものはどれか。
- 空気の粘性係数は、一定の圧力のもとでは、温度の上昇とともに大きくなる。
- 流体の粘性により生じるせん断応力は、一般に、流体が接する物体の表面近くで大きくなる。
- 水の密度は、1気圧のとき、4℃付近で最大となる。
- 管内の流れは、レイノルズ数が小さいときに乱流、大きいときに層流となる。
過去問の解答を表示する
解答(4)
【No,5(A)】管路内の流体に関する文中、内に当てはまる数値として、適当なものはどれか。
「流体が管路の直管部を流れる場合において、管径が2倍で流速が等しいとき、摩擦による圧力損失は倍になる。
ただし、圧力損失はダルシー・ワイスバッハの式によるものとし、管摩擦係数は一定とする。」
- 1/4
- 1/2
- 2
- 4
過去問の解答を表示する
解答(2)
【No,6(A)】図に示す管路内を空気が流れる場合において、B点の静圧の値として、適当なものはどれか。
ただし、A点の全圧は80 Pa、B点の風速は10 m/s、A点とB点との間の圧力損失ΔPは10 Pa、空気の密度は1.2 kg/m³とする。

- 5Pa
- 10Pa
- 15Pa
- 20Pa
過去問の解答を表示する
解答(2)
【No,7(A)】熱に関する記述のうち、適当でないものはどれか。
- 気体を断熱膨張させても、その温度は変化しない。
- 液体の定圧比熱と定容比熱は、ほとんど同じ値である。
- 融解熱や気化熱のように、状態変化のみに費やされる熱を潜熱という。
- 等方性を有する物質の体膨張係数は、線膨張係数の3倍にほぼ等しい。
過去問の解答を表示する
解答(1)
【No,8(A)】湿り空気の性質に関する記述のうち、適当でないものはどれか。
- 湿り空気を露点以下の冷却コイルで冷却すると、絶対湿度は降下する。
- 湿り空気を水スプレーで加湿すると、乾球温度は上昇する。
- 飽和湿り空気の温度を上げても、絶対湿度は変わらない。
- 飽和湿り空気の温度を下げても、相対湿度は変わらない。
過去問の解答を表示する
解答(2)
【No,9(A)】燃焼に関する記述のうち、適当でないものはどれか。
- 燃焼ガス中の窒素酸化物の量は、一般に、高温燃焼時よりも低温燃焼時の方が少ない。
- ボイラーの燃焼において、熱損失を少なくするためには、空気過剰率は大きいほど望ましい。
- 低発熱量とは、高発熱量から潜熱分を引いた熱量をいう。
- 理論空気量とは、燃料を完全燃焼させるために理論的に必要な最小の空気量をいう。
過去問の解答を表示する
解答(2)
【No,10(A)】音に関する記述のうち、適当でないものはどれか。
- ロックウールやグラスウールは、一般に、低周波数域よりも中・高周波数域の音をよく吸収する。
- 音圧レベル50dBの音を2つ合成すると、53dBになる。
- 音の大きさは、その音と同じ大きさに聞こえる1,000Hzの純音の音圧レベルの数値で表す。
- NC曲線の音圧レベル許容値は、周波数が高いほど大きい。
過去問の解答を表示する
解答(4)
【No,11(A)】電動機のインバータ制御に関する記述のうち、適当でないものはどれか。
- 汎用インバータでは、一般に、出力周波数の変更に合わせて出力電圧を制御する方式が用いられる。
- インバータによる運転は、電圧波形にひずみを含むため、インバータを用いない運転よりも電動機の温度が高くなる。
- インバータによる始動方式は、直入始動方式よりも始動電流が大きいため、電源容量を大きくする必要がある。
- 三相かご形誘導電動機は、インバータにより制御することができる。
過去問の解答を表示する
解答(3)
【No,12(A)】電気工事に関する記述のうち、適当でないものはどれか。
- 合成樹脂製可とう電線管のPF管を、直接コンクリートに埋め込んで施設した。
- 金属管工事で、三相3線式回路の電線を同一の金属管に収めた。
- 合成樹脂製可とう電線管のCD管相互の接続に、カップリングを用いた。
- 人が触れるおそれがある使用電圧が400Vの金属管に、D種接地工事を施した。
過去問の解答を表示する
解答(4)
【No,13(A)】図に示す集中荷重Pが作用する梁の曲げモーメント図と配筋図の組合せのうち、適当なものはどれか。

過去問の解答を表示する
解答(2)
【No,14(A)】鉄筋コンクリートに関する記述のうち、適当でないものはどれか。
- 水セメント比が大きいほど、コンクリートの中性化が遅くなる。
- 外気温度が高くなると、凝結、硬化が早くなる。
- 鉄筋とコンクリートは、線膨張係数が常温ではほぼ等しく、付着性もよい。
- 鉄筋コンクリート構造は、一般に、柱や梁を剛接合し、これに荷重を負担させるラーメン構造としている。
過去問の解答を表示する
解答(1)
【過去問】No,15~37問A 空調、給排水衛生

問題番号No,15(A)からNo,37(A)までの23問のうち、12問を選択し解答してください。
【No,15(A)】建築計画に関する記述のうち、省エネルギーの観点から、適当でないものはどれか。
- 建物の平面形状は、短辺に対する長辺の比率をなるべく大きくする。
- 東西面の窓面積を極力減らす建築計画とする。
- 窓ガラスは、遮へい係数の小さいものを計画する。
- 建物の出入口に風除室を設ける。
過去問の解答を表示する
解答(1)
【No,16(A)】空気調和方式に関する記述のうち、適当でないものはどれか。
- 床吹出し方式は、吹出口の移動や増設に対応しやすい。
- 変風量単一ダクト方式は、室の負荷変動に対応しやすい。
- エアフローウィンドウ方式は、窓面の熱負荷軽減に有効である。
- ダクト併用ファンコイルユニット方式は、一般に、全空気方式に比べて空気搬送動力が大きい。
過去問の解答を表示する
解答(4)
【No,17(A)】空気調和計画において、系統を区分すべき室とゾーニングの主たる要因の組合せとして、最も適当でないものはどれか。
- 事務室と食堂 ―――――――― 空気清浄度
- 事務室とサーバー室 ――――― 温湿度条件
- 事務室と会議室 ――――――― 使用時間
- 東側事務室と西側事務室 ――― 日射
過去問の解答を表示する
解答(1)
【No,18(A)】図に示す定風量単一ダクト方式における湿り空気線図上の冷房プロセスに関する記述のうち、適当でないものはどれか。

- 点は、コイル入り口の状態点であり、外気量が多くなるほど点はに近づく。
- 点は、実用的には相対湿度が90%の線上にとる場合が多い。
- 室内冷房負荷の顕熱比が小さくなるほど、直線―の勾配は大きくなる。
- 室内負荷は、点と点の比エンタルピー差と送風量から求めることができる。
過去問の解答を表示する
解答(1)
【No,19(A)】変風量単一ダクト方式の自動制御において、制御する機器と検出要素の組合せのうち、関係の少ないものはどれか。
- 外気・排気用電動ダンパー ――― 還気ダクト内の二酸化炭素濃度
- 空気調和機のファン ―――――― 還気ダクト内の静圧
- 変風量(VAV)ユニット ――― 室内の温度
- 加湿器 ―――――――――――― 室内の湿度
過去問の解答を表示する
解答(2)
【No,20(A)】コージェネレーションシステムに関する記述のうち、適当でないものはどれか。
- 受電並列運転(系統連系)は、コージェネレーションシステムによる電力を商用電力と接続し、一体的に電力を供給する方式である。
- ガスタービン、ガスエンジン、ディーゼルエンジンのうち、ガスタービンを内燃機関とする発電機の発電効率が最も高い。
- 燃料電池を用いるシステムは、内燃機関のものに比べて騒音・振動が小さく、NOxの発生量が少ない。
- コージェネレーションシステムは、排熱を高温から低温に向けて順次多段階に活用するカスケード利用を行うように計画する。
過去問の解答を表示する
解答(2)
【No,21(A)】ヒートポンプに関する記述のうち、適当でないものはどれか。
- 寒冷地での空気熱源ヒートポンプの使用においては、電気ヒーターなどの補助加熱装置が必要な場合がある。
- ガスエンジンヒートポンプは、一般に、エンジンの排気ガスや冷却水からの排熱を回収するために熱交換器を備えている。
- 空気熱源ヒートポンプの冷房サイクルと暖房サイクルの切替えは、一般に、配管回路に設置された四方弁により行う。
- ヒートポンプの採熱源の適応条件は、平均温度が低く温度変化が大きいことが望ましい。
過去問の解答を表示する
解答(4)
【No,22(A)】換気設備に関する記述のうち、適当でないものはどれか。
- 密閉式燃焼器具のみを設けた室には、火気を使用する室としての換気設備を設けなくてもよい。
- 換気上有効な第3種換気設備を設けた調理室では、給気口は適当な位置に、火を使用する設備又は器具の燃焼を妨げないように設ける必要がある。
- 換気用小窓付きサッシがある居室(調理室を除く)に、発熱量12kWの火を使用する器具を設けた場合は、火気を使用する室としての換気設備を設けなくてもよい。
- 床面積の1/20以上の換気上有効な開口がない居室には、換気設備を設ける必要がある。
過去問の解答を表示する
解答(3)
【No,23(A)】図に示す換気上有効な開口を有しない2室に機械換気を行う場合、最小有効換気量V[m³/h]として、「建築基準法」上、正しいものはどれか。
ただし、居室(1)・(2)の最小有効換気量は、居室の床面積と実況に応じた1人当たりの占有面積から決まるものとし、居室(1)・(2)は特殊建築物における居室でないものとする。

- 880 m³/h
- 1,080 m³/h
- 1,320 m³/h
- 1,620 m³/h
過去問の解答を表示する
解答(2)
【No,24(A)】排煙設備に関する記述のうち、適当でないものはどれか。
ただし、本設備は「建築基準法」上の「階及び全館避難安全検証法」及び「特殊な構造」によらないものとする。
- 排煙機に接続されるたてダクトの排煙機室の床貫通部には、防火ダンパーを設けなければならない。
- 手動開放装置を壁に設ける場合、手で操作する部分の高さは、床面から80cm以上150cm以下とする。
- 同一防煙区画に複数の排煙口を設ける場合、排煙口の1つを開放することで他の排煙口を同時に開放する連動機構付とする。
- 排煙ダクトは、可燃物から150mm以上離すか、又は厚さ100mm以上の金属以外の不燃材料で覆うものとする。
過去問の解答を表示する
解答(1)
【No,25(A)】排煙設備に関する記述のうち、適当でないものはどれか。
ただし、本設備は「建築基準法」上の「階及び全館避難安全検証法」及び「特殊な構造」によらないものとする。
- 自然排煙口は、防煙区画部分の床面積の1/50以上の排煙上有効な開口面積を有する必要がある。
- 排煙口の設置高さは、天井高さが3m以上のときは、床面からの高さが2.1m以上でかつ天井高さの1/2以上の部分に設置する。
- 一般の事務室の各防煙区画の床面積は、500m²以下とする。
- 以上の防煙区画を対象とする場合の排煙風量は、1分間に120m³以上で、かつ最大防煙区画の床面積1m²につき1m³以上とする。
過去問の解答を表示する
解答(4)
【No,26(A)】上水道に関する記述のうち、適当でないものはどれか。
- 浄水施設のうち凝集池は、凝集剤と原水を混和させる混和池と微小フロックを成長させるフロック形成池で構成される。
- 送水施設は、浄水施設から配水池までの施設であり、ポンプ、送水管などで構成される。
- 取水施設は、取水された原水を浄水施設まで導く施設であり、その方式には自然流下式、ポンプ加圧式及び併用式がある。
- 配水施設は、浄化した水を給水区域の需要者にその必要とする水圧で所要量を供給するための施設で、配水池、ポンプ、配水管などで構成される。
過去問の解答を表示する
解答(3)
【No,27(A)】下水道に関する記述のうち、適当でないものはどれか。
- 雨水管きょの最小管径は、250mmを標準とする。
- 下水道本管に接続する取付管の勾配は、1/100以上とする。
- 取付管は、下水道本管の中心線から上方に取り付ける。
- 管きょ径が変化する場合の接合方法は、原則として、管底接合とする。
過去問の解答を表示する
解答(4)
【No,28(A)】給水設備に関する記述のうち、適当でないものはどれか。
- 受水タンクの容量は、一般に、1日予想給水量の1/2程度である。
- 受水タンクにおける吐水口空間とは、給水口端からオーバーフロー管のあふれ縁までの垂直距離をいう。
- 水道直結増圧方式のポンプは、高置タンク方式に比べて、一般に、吐出量は小さくできる。
- 逆サイホン作用とは、水受け容器中に吐き出された水などが、給水管内に生じた負圧により管内に逆流することである。
過去問の解答を表示する
解答(3)
【No,29(A)】給水設備に関する記述のうち、適当でないものはどれか。
- 高層建築物では、高層・低層に給水系統を分けたり、減圧弁を設置するなどして、給水圧力が400~500kPaを超えないようにする。
- ウォーターハンマー防止などのため、一般に、給水管内の流速は2.0m/s程度以下とする。
- 大便器の器具給水負荷単位は、ロータンク方式より洗浄弁方式の方が大きい。
- 揚水管の横引配管が長くなる場合、上層階で横引きをする方が水柱分離を生じにくい。
過去問の解答を表示する
解答(4)
【No,30(A)】給湯設備に関する記述のうち、適当でないものはどれか。
- 中央給湯方式の循環ポンプは、貯湯タンクの入口側に設置する。
- 給湯栓の吐出圧力は、循環ポンプの揚程により定められる。
- 給湯管に銅管を用いる場合、管内流速が1.5 m/s程度以下になるように管径を決定する。
- 中央給湯方式の循環ポンプの循環量は、循環配管路の熱損失と許容温度降下により求められる。
過去問の解答を表示する
解答(2)
【No,31(A)】排水・通気設備に関する記述のうち、適当でないものはどれか。
- ループ通気管の取出し管径は、排水横枝管の管径と、接続する通気立て管の管径のいずれか小さい方の1/2以上とした。
- 通気管の管径は、通気管の長さと接続される器具排水負荷単位の合計から決定した。
- 通気管の末端を窓などの開口部から600 mm以上立ち上げて開放できないので、その開口部から水平に2m離して開放した。
- 通気立て管の下部は、最低位の排水横枝管より低い位置で排水立て管に接続した。
過去問の解答を表示する
解答(3)
【No,32(A)】排水設備に関する記述のうち、適当でないものはどれか。
- 公共下水道に下水を流入させるための排水管の管径が100mmであるため、排水ますは15mごとに設置した。
- トラップますは、100mmの封水深を確保できるものとした。
- 排水立て管の垂直に対して60度のオフセット部の管径は、排水横主管として決定した。
- 排水立て管の管径は、いずれの階においても立て管最下部の管径と同一とした。
過去問の解答を表示する
解答(1)
【No,33(A)】排水設備に関する記述のうち、適当でないものはどれか。
- 汚物用水中モーターポンプは、ブレードレス形とした。
- 地下からの湧水を排水するポンプは、汚水用水中モーターポンプとし、口径は40mmとした。
- 厨房の排水ポンプは、雑排水用水中モーターポンプとした。
- 排水量の変動が激しく、小さい排水槽に設置するポンプは、最大排水量を処理できる容量の排水ポンプとした。
過去問の解答を表示する
解答(3)
【No,34(A)】不活性ガス消火設備に関する記述のうち、「消防法」上、誤っているものはどれか。
- 不活性ガス消火設備を設置する防護区画には、その放出された消火剤及び燃焼ガスを安全な場所に排出するための措置を講じる。
- 不活性ガス消火設備を設置する防護区画が2以上あり、貯蔵容器を共用するときは、防護区画ごとに選択弁を設けなければならない。
- ボイラー室その他多量の火気を使用する室に不活性ガス消火設備を設置する場合の消火剤は、二酸化炭素とする。
- 常時人がいない部分に不活性ガス消火設備を設置する場合は、全域放出方式としてはならない。
過去問の解答を表示する
解答(4)
【No,35(A)】ガス設備に関する記述のうち、適当でないものはどれか。
- 「ガス事業法」による熱量とは、標準状態の乾燥したガス1m³中で測定される総熱量をいう。
- 都市ガスの供給方式において、ガス消費量が多い熱源機器を用いる施設では中圧供給(中圧A、中圧B)とする場合がある。
- 都市ガスの種類を表す記号A、B、Cのうち、Cは燃焼速度が最も遅いグループである。
- 液化石油ガス(LPG)のガス漏れ警報器の検知部は、ガス機器から水平距離4m以内で、かつ検知部の上端が床面より0.3m以内に設置する。
過去問の解答を表示する
解答(3)
【No,36(A)】「建築基準法」に基づく浄化槽の構造方法を定める告示に示された処理対象人員が30人以下の脱窒ろ床接触ばっ気方式のフローシート中、内に当てはまる槽の名称の組合せとして、正しいものはどれか。

- 接触ばっ気槽 ――― 沈殿槽 ―――――― 脱窒ろ床槽
- 脱窒ろ床槽 ―――― 沈殿槽 ―――――― 接触ばっ気槽
- 脱窒ろ床槽 ―――― 接触ばっ気槽 ――― 沈殿槽
- 接触ばっ気槽 ――― 脱窒ろ床槽 ―――― 沈殿槽
過去問の解答を表示する
解答(3)
【No,37(A)】ある合併処理浄化槽において、流入水が下表のとおりで、BOD除去率が90%の場合、放流水のBOD濃度の計算値として、適当なものはどれか。
| 排水の種類 | 流入水量(m³/日) | BOD濃度(mg/L) |
|---|---|---|
| 汚 水 | 50 | 200 |
| 雑排水 | 200 | 100 |
- 10mg/L
- 12mg/L
- 14mg/L
- 16mg/L
過去問の解答を表示する
解答(2)
【過去問】No,38~44問A 機器材料、設計図書

問題番号No,38(A)からNo,44(A)までの7問は必須問題となるので、全問を解答してください。
【No,38(A)】送風機に関する記述のうち、適当でないものはどれか。
- 軸流送風機は、構造的に高圧力を必要とする場合に適している。
- 斜流送風機は、羽根車の形状や風量・静圧特性が遠心式と軸流式のほぼ中間に位置している。
- 後向き羽根送風機は、羽根形状などから多翼送風機に比べ高速回転が可能な特性を有している。
- 多翼送風機の軸動力は、風量の増加とともに増加する。
過去問の解答を表示する
解答(1)
【No,39(A)】冷却塔に関する記述のうち、適当でないものはどれか。
- 冷却水のスケールは、補給水中のカルシウムなどの硬度成分が濃縮されて塩類が析出したもので、連続的なブローなどにより抑制できる。
- レンジとは、冷却塔出口水温と入口空気湿球温度の差をいう。
- 開放型冷却塔は、充てん材の上部などにエリミネーターを設け、水滴の塔外への飛散を防止している。
- 密閉型冷却塔は、熱交換器などの空気抵抗が大きく、開放型冷却塔に比べて送風機動力が大きくなる。
過去問の解答を表示する
解答(2)
【No,40(A)】空気清浄装置に関する記述のうち、適当でないものはどれか。
- 自動巻取形フィルターは、ロール状に巻いた濾材をタイマーや前後の差圧により電動機で自動的に移動させる機構となっている。
- 静電式の空気清浄装置は、高圧電界による荷電及び吸引付着力により粉じんを除去するもので、比較的微細な粉じんの除去に使用される。
- 活性炭フィルターは、活性炭を吸着材として用いるもので、主に臭気の除去に使用される。
- HEPAフィルターは、濾材面積を狭くすることにより、濾材の通過風速を速くしており、クリーンルームなどの超高度の空気清浄用に使用される。
過去問の解答を表示する
解答(4)
【No,41(A)】配管材料及び配管付属品に関する記述のうち、適当でないものはどれか。
- 架橋ポリエチレン管は、中密度・高密度ポリエチレンを架橋反応させることで、耐熱性、耐クリープ性を向上させた配管である。
- バタフライ弁に用いられる弁体は円板状であり、構造が簡単で取付けスペースが小さい。
- 配管用炭素鋼鋼管(白管)は、水配管用亜鉛めっき鋼管よりも亜鉛付着量が多く、良質なめっき層を有している。
- 衝撃吸収式逆止め弁は、リフト逆止め弁にばねと案内傘を内蔵した構造などで、高揚程のポンプの吐出し側配管に使用される。
過去問の解答を表示する
解答(3)
【No,42(A)】ダクト及びダクト付属品に関する記述のうち、適当でないものはどれか。
- 低圧ダクトは、常用圧力において、正圧、負圧ともに1,000Paまでの範囲で使用できる。
- 排煙ダクトに設ける防火ダンパーの温度ヒューズの作動温度は280℃とする。
- 材料、断面積、風量が同じ場合、円形ダクトの方が長方形ダクトより単位摩擦抵抗は小さくなる。
- ノズル形吹出口は、到達距離が長くとれ、講堂や大会議室などの大空間に適している。
過去問の解答を表示する
解答(1)
【No,43(A)】「公共工事標準請負契約約款」に関する記述のうち、適当でないものはどれか。
- 受注者は、この約款及び設計図書に特別の定めがない仮設、施工方法等を定める場合は、監督員の指示によらなければならない。
- 受注者は、工事目的物及び工事材料等を設計図書に定めるところにより、火災保険、建設工事保険その他の保険に付さなければならない。
- 受注者は、工事現場内に搬入した工事材料を監督員の承諾を受けないで工事現場外に搬出してはならない。
- 発注者は、受注者が正当な理由なく、工事に着手すべき期日を過ぎても工事に着手しないときは、契約を解除することができる。
過去問の解答を表示する
解答(1)
【No,44(A)】設計図書に記載する「ユニット形空気調和機」の仕様に関する文中、内に当てはまる用語の組合せとして、適当なものはどれか。
「設計図には、ユニット形空気調和機の形式、冷却能力、加熱能力、風量、 、コイル通過風速、コイル列数、水量、冷水入口温度、温水入口温度、コイル出入口空気温度、加湿器形式、有効加湿量、電動機の電源種別、 、基礎形式などを記載する。」
- 機外静圧 ――― 電動機出力
- 機外静圧 ――― 電流値
- 全静圧 ―――― 電動機出力
- 全静圧 ―――― 電流値
過去問の解答を表示する
解答(1)
【過去問】No,01~17問B 施工管理法

問題番号No,1(B)からNo,17(B)までの17問は必須問題となるので、全問を解答してください。
【No,1(B)】施工計画に関する記述のうち、最も適当でないものはどれか。
- 仮設計画は、施工中に必要な諸設備を整えることであり、主として受注者がその責任において計画するものである。
- 実行予算書作成の目的は、工事原価の検討と確認を行って利益確保の見通しを立てることである。
- 総合工程表は、現場の仮設工事から完成時における試運転調整、後片付け、清掃までの全工程の大要を表すもので、一般に、工事区分ごとに示す。
- 一般に、工事原価とは共通仮設費と直接工事費を合わせた費用であり、現場従業員人件費などの現場管理費は一般管理費に含まれる。
過去問の解答を表示する
解答(4)
【No,2(B)】建設工事で発生した廃棄物の処理計画に関する記述のうち、最も適当でないものはどれか。
- 損傷した衛生陶器で再利用できないものは、特別管理産業廃棄物として処理した。
- 家庭用エアコンは、特定家庭用機器再商品化法(家電リサイクル法)に基づいて処理した。
- 業務用パッケージエアコンの冷媒に使われていたフロンは、回収後すべて破壊して無害化した。
- 排出事業者(マニフェスト交付者)は、各マニフェストの写しを5年間保管した。
過去問の解答を表示する
解答(1)
【No,3(B)】工程管理に関する記述のうち、適当でないものはどれか。
- ネットワーク工程表において、デュレイションとは所要時間のことで、アクティビティ(作業)に付された数字のことである。
- ガントチャート工程表は、各作業の完了時点を100%としたもので、作成は容易だが、各作業の開始日、所要日数が不明という欠点がある。
- 労務費、材料費、仮設費などの直接費が最小となる経済的な施工速度を臨界速度といい、このときの工期を最小工期という。
- バーチャート工程表で作成する予定進度曲線(Sカーブ)を実施進度曲線と比較し大幅に差がある場合は、原因を追究して工程を調整する必要がある。
過去問の解答を表示する
解答(3)
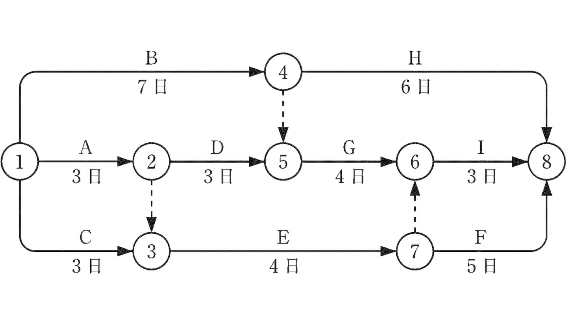
【No,4(B)】図に示すネットワーク工程表に関する記述のうち、適当でないものはどれか。

- クリティカルパスは、①→④→⑤→⑥→⑧で所要日数は14日である。
- 作業C のトータルフロートは、2日である。
- 作業Dのフリーフロートは、2日である。
- イベント④と⑤の最遅完了時刻と最早開始時刻は同じで、7日である。
過去問の解答を表示する
解答(3)
【No,5(B)】品質管理に関する記述のうち、適当でないものはどれか。
- デミングサークルの目的は、作業を計画(P)→検討(C)→実施(D)→処置(A)→計画(P)と繰り返すことによって、品質の改善を図ることである。
- 品質管理として行う内容には、製作図や施工図の検討、水圧試験、風量調整の確認などが含まれる。
- 管工事の品質に影響を与える要因としては、現場加工材料の良否、機器の据付け状況などがある。
- 品質管理を行うことによる効果には、手直しの減少、工事原価の低減などがある。
過去問の解答を表示する
解答(1)
【No,6(B)】品質管理の手法に関する記述のうち、適当でないものはどれか。
- 散布図は、縦・横軸のグラフに点でデータをプロットしたものであるが、2つのデータに強い相関関係があれば、点の分布は直線または曲線に近づく。
- 特性要因図は、不良箇所と原因の関係を「魚の骨」状に表した図で、不良とその原因が体系的に整理される。
- ヒストグラムは、データの分布を柱状図で表したもので、データの全体分布や、規格の上限・下限からはずれている度合いがわかる。
- パレート図は、データをプロットした点を直線で結んだ折れ線グラフと管理限界線からなり、データの時間的変化や異常なばらつきがわかる。
過去問の解答を表示する
解答(4)
【No,7(B)】建設業における安全管理に関する記述のうち、適当でないものはどれか。
- 安全衛生責任者は、関係請負人が行う労働者の安全のための教育に対する指導及び援助を行う措置を講じなければならない。
- 一つの荷物で重量が100kg以上のものを貨物自動車に積む作業を行うときは、当該作業を指揮する者を定めなければならない。
- 安全施工サイクルとは、安全朝礼から始まり、安全ミーティング、安全巡回、工程打合せ、片付けまでの日常活動サイクルのことである。
- 事業者は、労働者を雇い入れたときは、当該労働者に対して、その従事する業務に関する安全又は衛生のため必要な事項の教育を行わなければならない。
過去問の解答を表示する
解答(1)
【No,8(B)】建設工事現場における危険防止に関する記述のうち、適当でないものはどれか。
- 交流アーク溶接機の自動電撃防止装置は、その日の使用を開始する前に、作動状態を点検しなければならない。
- 架設通路の高さ8m以上の登りさん橋には、高さ8mごとに踊場を設けた。
- 吊り上げ荷重1トンの移動式クレーンの運転業務には、小型移動式クレーン運転技能講習を修了した者を就かせた。
- はしご道は、はしごの転位防止のための措置を行い、はしごの上端を床から60cm以上突出させなければならない。
過去問の解答を表示する
解答(2)
【No,9(B)】機器の基礎及びアンカーボルトに関する記述のうち、適当でないものはどれか。
- コンクリートを現場練りとする場合、調合(容積比)はセメント1、砂2、砂利4程度とする。
- チリングユニットで防振基礎とする場合は、耐震ストッパーを設ける。
- アンカーボルトは、J 形より許容引抜き荷重が大きいL形を用いた。
- あと施工アンカーボルトは、基礎コンクリートの強度が、規定以上であることを確認してから打設した。
過去問の解答を表示する
解答(3)
【No,10(B)】機器の据付けに関する記述のうち、適当でないものはどれか。
- Vベルト駆動の送風機は、Vベルトの回転方向でベルトの下側引張りとなるように設置した。
- 排水用水中モーターポンプの据付け位置は、排水槽への排水流入口から離れた場所とした。
- 渦巻ポンプの吸込み管内が負圧になるおそれがあったため、連成計を取り付けた。
- 呼び番号3の送風機は、天井より吊ボルトにて吊下げ、振れ防止のためターンバックルをつけた斜材を4方向に設けた。
過去問の解答を表示する
解答(4)
【No,11(B)】給水管及び排水管の施工に関する記述のうち、適当でないものはどれか。
- 屋内給水主配管の適当な箇所に、保守及び改修を考慮してフランジ継手を設けた。
- 管径が100mmの屋内排水管の直管部に、15m間隔で掃除口を設けた。
- 揚水管の試験圧力は、揚水ポンプの全揚程に相当する圧力とした。
- 排水管の満水試験において、満水後30分放置してから減水がないことを確認した。
過去問の解答を表示する
解答(3)
【No,12(B)】配管の切断・接合に関する記述のうち、適当でないものはどれか。
- 硬質塩化ビニルライニング鋼管の切断に、チップソーカッターを使用した。
- 管の厚さが4mmのステンレス鋼管を突合せ溶接する際の開先をV形開先とした。
- 飲料用に使用する鋼管のねじ接合に、ペーストシール剤を使用した。
- 冷媒配管を差込接合する際に、配管内に不活性ガスを流しながら接合した。
過去問の解答を表示する
解答(1)
【No,13(B)】ダクトの施工に関する記述のうち、適当でないものはどれか。
- 共板フランジ工法の横走りダクトの吊り間隔は、アングルフランジ工法より短くする。
- 送風機の吐出し口直後にエルボを取り付ける場合、吐出し口からエルボまでの距離は、送風機の羽根径の1.5倍以上とする。
- 亜鉛鉄板製スパイラルダクトは、亜鉛鉄板を螺旋状に甲はぜ機械掛けしたもので、高圧ダクトにも使用できる。
- 最上階等を横走りする主ダクトに設ける耐震支持は、25m以内に1箇所、形鋼振止め支持とする。
過去問の解答を表示する
解答(4)
【No,14(B)】ダクト及びダクト付属品の施工に関する記述のうち、適当でないものはどれか。
- 一般系統用防火ダンパーの温度ヒューズの作動温度は、72℃程度とする。
- 風量調整ダンパーの取付け位置は、エルボ部よりダクト幅の2倍程度離れた直線部分とする。
- シーリングディフューザー形吹出口は、最小拡散半径が重ならないように配置する。
- シーリングディフューザー形吹出口は、暖冷房効果をあげるため、冷房時には、中コーンを下げ、暖房時には、中コーンを上げる。
過去問の解答を表示する
解答(2)
【No,15(B)】保温・保冷に関する記述のうち、適当でないものはどれか。
- ポリスチレンフォーム保温材は、水にぬれた場合、グラスウール保温材に比べて熱伝導率の変化が大きい。
- 保温筒相互の間げきは、出来る限り少なくし、重ね部の継目は同一線上にならないようにずらして取り付ける。
- ポリエチレンフィルム巻きの場合は1/2重ね巻きとする。
- グラスウール保温材の24K、32K、40Kという表示は、保温材の密度を表すもので、数値が大きいほど熱伝導率が小さい。
過去問の解答を表示する
解答(1)
【No,16(B)】試運転調整に関する記述のうち、適当でないものはどれか。
- チリングユニットは、冷水ポンプ、冷却水ポンプ、冷却塔とのインターロックを確認する。
- 蒸気ボイラーは、低水位燃焼遮断装置用の水位検出器の水位を下げることにより、バーナーが停止することを確認する。
- ポンプは、吐出し側の弁を全開にして起動し、徐々に弁を閉じて、規定の水量になるように調整する。
- 送風機の風量は、風量測定口がない場合、試験成績表と運転電流値により確認する。
過去問の解答を表示する
解答(3)
【No,17(B)】機器の防振に関する記述のうち、適当でないものはどれか。
- ポンプの振動を直接構造体に伝えないために、防振ゴムを用いた架台を使用する。
- ポンプの振動を直接配管に伝えないために、防振継手を使用する。
- 送風機の振動を直接構造体に伝えないために、金属コイルバネを用いた架台を使用する。
- 送風機の振動を直接ダクトに伝えないために、伸縮継手を使用する。
過去問の解答を表示する
解答(4)
【過去問】No,18~29問B 関連法規

問題番号No,18(B)からNo,29(B)までの12問のうち、10問を選択し解答してください。
【No,18(B)】建設工事において、統括安全衛生責任者が行わなければならない事項又は統括管理しなければならない事項として、「労働安全衛生法」上、定められていないものはどれか。
- 作業場所を巡視すること。
- 健康診断の実施及び健康教育を行うこと。
- 協議組織の設置及び運営を行うこと。
- 元方安全衛生管理者を指揮すること。
過去問の解答を表示する
解答(2)
【No,19(B)】建設業を営む事業者が、新たに職長になった者に対して行う安全又は衛生のための教育の内容のうち、「労働安全衛生法」上、定められていないものはどれか。
- 労働者の適正な配置の方法
- 労働者の作業補償
- 指導及び教育の方法
- 災害発生時における措置
過去問の解答を表示する
解答(2)
【No,20(B)】次の記述のうち、「労働基準法」上、誤っているものはどれか。
- 使用者は、労働者名簿、賃金台帳及び雇入、解雇、災害補償、賃金その他労働関係に関する重要な書類を3年間保存しなければならない。
- 使用者と労働者が対等な立場で決定した労働契約であっても、労働基準法に定める基準に達しない労働条件の部分については無効である。
- 使用者は、労働契約に付随して貯蓄の契約をさせ、又は貯蓄金を管理する契約をしてはならない。
- 常時5人以上の労働者を使用する使用者は、就業規則を作成して行政官庁に届け出なければならない。
過去問の解答を表示する
解答(4)
【No,21(B)】建築物に関する記述のうち、「建築基準法」上、誤っているものはどれか。
- 体育館は、特殊建築物である。
- 最下階の床は、主要構造部ではない。
- 屋上部分に設けた機械室等で、水平投影面積の合計が建築物の建築面積の1/6以下のものは、階数に算入しない。
- 床が地盤面下にある階で、床面から地盤面までの高さがその階の天井の高さの1/3以上のものは、地階である。
過去問の解答を表示する
解答(3)
【No,22(B)】建築設備に関する記述のうち、「建築基準法」上、誤っているものはどれか。
- 空気調和設備の風道が防火区画を貫通する部分に設ける防火ダンパーと防火区画の間の鉄板の厚さは1.0mm以上としなければならない。
- 通気管は、直接外気に衛生上有効に開放しなければならない。ただし、配管内の空気が屋内に漏れることを防止する装置が設けられている場合にあっては、この限りでない。
- 有効容量が5m³を超える飲料用給水タンクに設けるマンホールは、直径60cm以上の円が内接することができる大きさとしなければならない。
- 排水再利用水の配管設備は、洗面器や手洗器と連結してはならない。
過去問の解答を表示する
解答(1)
【No,23(B)】建設業の種類のうち、「建設業法」上、指定建設業として定められていないものはどれか。
- 管工事業
- 造園工事業
- 鋼構造物工事業
- 水道施設工事業
過去問の解答を表示する
解答(4)
【No,24(B)】建設工事における施工体制に関する記述のうち、「建設業法」上、誤っているものはどれか。
- 一般建設業の建設業者が下請負人として建設工事を施工する場合、その請負代金の額にかかわらず、主任技術者を配置しなければならない。
- 発注者から直接建設工事を請け負った特定建設業者は、当該建設工事を施工するために締結した下請契約の請負代金の総額にかかわらず、監理技術者を配置しなければならない。
- 施工体制台帳の作成を要する建設工事を請けた建設業者は、当該建設工事に係るすべての建設業者名等を記載し、施工の分担関係を表示した施工体系図を作成しなければならない。
- 施工体制台帳の作成を要する建設工事を請けた建設業者は、その下請負人に関する事項として、健康保険等の加入状況を施工体制台帳に記載しなければならない。
過去問の解答を表示する
解答(2)
【No,】次の消防用設備等のうち、「消防法」上、消火活動上必要な施設として定められていないものはどれか。
- 排煙設備
- 連結送水管
- 屋内消火栓設備
- 連結散水設備
過去問の解答を表示する
解答(3)
【No,】スプリンクラー設備に関する記述のうち、「消防法」上、誤っているものはどれか。
ただし、特定施設水道連結型スプリンクラー設備は除く。
- 消防ポンプ自動車が容易に接近することのできる位置に、双口形の送水口を設置しなければならない。
- 劇場の舞台に設けるスプリンクラーヘッドは、閉鎖型としなければならない。
- ポンプによる加圧送水装置には、締切運転時における水温上昇防止のための逃し配管を設ける。
- 末端試験弁は、閉鎖型スプリンクラーヘッドを用いるスプリンクラー設備の流水検知装置又は圧力検知装置の作動を試験するために設ける。
過去問の解答を表示する
解答(2)
【No,27(B)】次の文中、 内に当てはまる語句の組合せとして、「建築物における衛生的環境の確保に関する法律」上、正しいものはどれか。
「特定建築物とは、興行場、百貨店等の政令で定める用途に供される部分の延べ面積が A 以上の建築物及び B 等の用途に供される建築物で延べ面積が8,000m²以上のものである。」
- 3,000m² ―――― 事務所
- 3,000m² ―――― 学校
- 5,000m² ―――― 事務所
- 5,000m² ―――― 学校
過去問の解答を表示する
解答(2)
【No,28(B)】産業廃棄物の処理に関する記述のうち、「廃棄物の処理及び清掃に関する法律」上、誤っているものはどれか。
- 建築物の改築に伴って生じた紙くず、木くず、繊維くずは、安定型産業廃棄物として処分しなければならない。
- 事業者は、排出した産業廃棄物の運搬又は処分を委託する場合には、契約は書面で行い、委託契約書を契約の終了の日から5年間保存しなければならない。
- 産業廃棄物管理票(マニフェスト)を交付された処分受託者は、当該処分を終了した日から10日以内に、当該管理票の写しを管理票交付者へ送付しなければならない。
- 事業者は、排出した特別管理産業廃棄物の運搬又は処分を委託する場合、あらかじめ、特別管理産業廃棄物の種類、数量、性状等を、委託しようとする者に文書で通知しなければならない。
過去問の解答を表示する
解答(1)
【No,29(B)】機器の据付け及び配管作業における資格などに関する記述のうち、関係法令上、誤っているものはどれか。
- 「浄化槽法」上、浄化槽設備士が自ら浄化槽工事を行う場合を除き、浄化槽工事を行うときは、浄化槽設備士が実地に監督しなければならない。
- 「水道法」上、水道事業者は、水の供給を受ける者の給水装置工事が水道事業者又は指定給水装置工事事業者によるものであることを供給条件とすることができる。
- 「消防法」上、屋内消火栓設備における配管の設置工事は、乙種消防設備士免状の交付を受けている者でなければ行ってはならない。
- 「液化石油ガスの保安の確保及び取引の適正化に関する法律」上、液化石油ガス設備工事における硬質管のねじ切りの作業は、液化石油ガス設備士でなければ行ってはならない。
過去問の解答を表示する
解答(3)
1級管工事施工管理技士の過去問【まとめ】
1級管工事施工管理技士の他の年度の過去問と解答を紹介します。
| 過去問年度 | 1次検定(問題A+B) |
|---|---|
| 2026年度(令和8年) | 1次検定 過去問/解答 |
| 2025年度(令和7年) | 1次検定 過去問/解答 |
| 2024年度(令和6年) | 1次検定 過去問/解答 |
| 2023年度(令和5年) | 1次検定 過去問/解答 |
| 2022年度(令和4年) | 1次検定 過去問/解答 |
| 2021年度(令和3年) | 1次検定 過去問/解答 |
| 2020年度(令和2年) | 学科試験 過去問/解答 |
| 2019年度(令和1年) | 学科試験 過去問/解答 |
| 2018年度(平成30年) | 学科試験 過去問/解答 |
| 2017年度(平成29年) | 学科試験 過去問/解答 |
| 2016年度(平成28年) | 学科試験 過去問/解答 |
| 2015年度(平成27年) | 学科試験 過去問/解答 |
| 2014年度(平成26年) | 学科試験 過去問/解答 |
| 2013年度(平成25年) | 学科試験 過去問/解答 |
| 2012年度(平成24年) | 学科試験 過去問/解答 |
| 2011年度(平成23年) | 学科試験 過去問/解答 |
| 2010年度(平成22年) | 学科試験 過去問/解答 |
1級管工事施工管理技士の過去問PDFは『1級管工事施工管理技士【過去問PDF】』からダウンロードして下さい。
1級管工事施工管理技士のおすすめの問題集

1級管工事施工管理技士の試験勉強に役立つおすすめの過去問集を紹介します!
- 地域開発研究所『1級管工事施工管理 第一次検定問題解説集』
- 地域開発研究所『1級管工事施工管理 第二次検定問題解説集』
を購入すれば、1級管工事施工管理技士に合格できる知識を習得可能となります。
1級管工事施工管理技士の一次検定の定番中の定番である本書は、10年分の過去問が網羅的に解説されており一次検定の過去問の理解ができる過去問題集となっています。
1級管工事施工管理技士の二次検定の問題集は好みの分かれるところですが、一次検定を地域開発研究所の過去問題集で勉強しているなら継続して、地域開発研究所の過去問集が使いやすいでしょう。

























