【令和7年度後期】2級管工事施工管理技士 過去問と解答【第1次検定】

令和7年度後期の2級管工事施工管理技士の過去問と解答となります!
2級管工事施工管理技士の過去問【令和7年度 後期】

2級管工事施工管理技士の令和7年度後期の過去問と解答を掲載しています。
| 出題 | 出題項目 | 出題選択 |
|---|---|---|
| No,01~06問 | 一般原論、電気・建築 | 6問中6問解答(必須) |
| No,07~23問 | 空調、給排水衛生 | 17問中9問解答(選択) |
| No,24~28問 | 機器材料、設計図書 | 5問中5問解答(必須) |
| No,29~38問 | 施工管理法 | 10問中8問解答(選択) |
| No,39~48問 | 関連法規 | 10問中8問解答(選択) |
| No,49~52問 | 施工管理法 | 4問中4問解答(必須) |
《2級管工事 合格基準》
2級管工事施工管理技士は、52問中40問を解答する試験です。合格には60%以上の正答率が必要なので『24問』に正解すれば合格となります。
【過去問】No,01~06問 一般原論、電気・建築

問題番号No,1からNo,6までの6問は必須問題となるので、全問を解答してください。
【No,1】熱中症の発症又は予防に関係する用語として、適当でないものはどれか。
- 暑さ指数
- キャビテーション
- 暑熱順化
- 身体作業強度
過去問の解答を表示する
解答(2)
【No,2】水平な円管の直管部を流れる流体について、全圧、静圧及び動圧の関係を表す式として、適当なものはどれか。
過去問の解答を表示する
解答(3)
【No,3】下図に示す湿り空気線図において、湿り空気A及び湿り空気Bに関する記述のうち、適当でないものはどれか。

- 湿り空気Aより湿り空気Bのほうが、乾球温度が高い。
- 湿り空気Aより湿り空気Bのほうが、絶対湿度が高い。
- 湿り空気Aより湿り空気Bのほうが、相対湿度が高い。
- 湿り空気Aより湿り空気Bのほうが、比エンタルピーが高い。
過去問の解答を表示する
解答(3)
【No,4】空気環境に関する記述のうち、適当でないものはどれか。
- ホルムアルデヒドは、常温において無臭の気体である。
- 室内で二酸化炭素が発生する要因の一つに、在室者の呼吸がある。
- 臭気は、空気汚染を示す指標の一つであり、臭気強度や臭気指数等で表す。
- PM2.5は、大気中に浮遊する微小粒子状物質である。
過去問の解答を表示する
解答(1)
【No,5】電気設備に関する記述のうち、適当でないものはどれか。
- 屋外に設置する機器の電源回路には、漏電遮断器を設置する。
- 合成樹脂製可とう電線管 (PF管)は、コンクリートに埋設して使用することができる。
- 合成樹脂製可とう電線管 (PF管) 内では、電線に接続点を設けない。
- 絶縁抵抗測定では、抵抗の測定値が規定値より小さい場合に良と判定する。
過去問の解答を表示する
解答(4)
【No,6】鉄筋コンクリート構造に関する記述のうち、適当でないものはどれか。
- 鉄筋コンクリートは、主に、鉄筋が引張応力を、コンクリートが圧縮応力を負担する。
- 鉄筋とコンクリートの線膨張係数は、常温においてほぼ等しい。
- 鉄筋の継手の位置は、応力の大きい部分に設ける。
- 構造体に作用する外力として、風圧力も考慮する。
過去問の解答を表示する
解答(3)
【過去問】No,07~23問 空調、給排水衛生

問題番号No,7からNo,23までの17問のうち、9問を選択し解答してください。
【No,7】空気調和設備の計画に関する記述のうち、省エネルギーの観点から、適当でないものはどれか。
- 中間期には外気を取り入れないように制御する。
- ユニット形空気調和機に全熱交換器を組み込む。
- 成績係数が高い機器を採用する。
- 冷房時に冷却減湿・再熱を行い、湿度を制御する。
過去問の解答を表示する
解答(4)
【No,8】下図に示す定風量単一ダクト方式における冷房時の湿り空気線図に関する記述のうち、適当でないものはどれか。

- 室内空気の状態点は、①である。
- 導入外気の状態点は、②である。
- 空気調和機出口空気の状態点は、③である。
- コイルの冷却負荷は、③と④の比エンタルピー差から求められる。
過去問の解答を表示する
解答(3)
【No,9】空気清浄装置に関する記述のうち、適当でないものはどれか。
- ろ過式は、繊維などの多孔質空間を通過させることで粉じんを捕集する。
- 静電式は、有害ガスや臭気を除去することができる。
- 折込み形のフィルターは、ろ過面積を広くすることで圧力損失を減らしている。
- 衝突粘着式は、粘着剤を塗布した金網、金属板等に粉じんを衝突付着させるものである。
過去問の解答を表示する
解答(2)
【No,10】自動制御に関する記述のうち、適当でないものはどれか。
- 排水ポンプは、排水槽の減水時に空転防止を行う。
- 排水槽は、満水時に警報の発報を行う。
- 揚水ポンプは、受水タンクの減水時に空転防止を行う。
- 揚水ポンプは、受水タンクの電極棒からの発停信号を受けて自動運転を行う。
過去問の解答を表示する
解答(4)
【No,11】コールドドラフト対策に関する記述のうち、適当でないものはどれか。
- 外壁からの熱損失を減らす。
- 放熱器をインテリア側に設置する。
- 温風暖房では、送風量をできるだけ多くする。
- 建築構造を気密にし、屋外から侵入する隙間風を減らす。
過去問の解答を表示する
解答(2)
【No,12】パッケージ形空気調和機に関する記述のうち、適当でないものはどれか。
- インバーター制御のものは、リアクトルの設置等による高調波対策が必要である。
- 空冷式は、屋内機と屋外機間の高低差の制限はない。
- 「高圧ガス保安法」の適用を受ける場合がある。
- 圧縮機は、ロータリー形、スクロール形等が多く使用されている。
過去問の解答を表示する
解答(2)
【No,13】換気に関する記述のうち、適当でないものはどれか。
- 便所の換気は、居室の換気と同一系統にまとめる。
- 機械換気は、送風機や排風機を利用して、室内空気と外気の入替えを行うものである。
- 吸収冷温水機室の換気は、第一種機械換気方式とする。
- 自然換気は、風力及び温度差による浮力によって、室内空気と外気の入替えを行うものである。
過去問の解答を表示する
解答(1)
【No,14】換気の「対象となる室」と「換気の必要な主な要因」の組合せのうち、適当でないものはどれか。
- 車庫 ―――― 酸素供給
- 電気室 ――― 熱
- 浴室 ―――― 湿気
- 倉庫 ―――― 臭気
過去問の解答を表示する
解答(1)
【No,15】上水道に関する記述のうち、適当でないものはどれか。
- 「水道法」でいう給水装置には、建築物に設置される受水タンクも含まれる。
- 簡易専用水道とは、水道事業の用に供する水道から供給を受ける水のみを水源とし、水の供給を受けるために設けられる水槽の有効容量の合計が10m³を超えるものをいう。
- 配水管への取付口の位置は、他の給水装置の取付口から30cm以上離す。
- 水道事業者は、当該水道事業者の給水区域において、給水装置工事を適正に施行することができると認められる者を指定することができる。
過去問の解答を表示する
解答(1)
【No,16】下水道に関する記述のうち、適当でないものはどれか。
- 排水管の管内流速は、原則として、0.6~1.5m/sの範囲とする。
- 管きょのますは、管きょの長さが、ますの内径又は内のり幅の120倍を超えない範囲内に設ける。
- 宅地ますは、内径又は内のり幅が15cm以上の円形又は角形とする。
- 下水道本管に接続する取付管の最小管径は、65mmを標準とする。
過去問の解答を表示する
解答(4)
【No,17】給水設備に関する記述のうち、適当でないものはどれか。
- 飲料用給水タンクには、内径60cm以上のマンホールを設ける。
- 高置タンク方式は、他の給水方式に比べ、給水圧力の変動が大きくなる。
- 水道直結増圧方式は、高置タンク方式に比べ、一般的に、ポンプの吐出し量が大きくなる。
- クロスコネクションとは、飲料水系統とその他の系統が、配管・装置により直接接続されることをいう。
過去問の解答を表示する
解答(2)
【No,18】給湯設備に関する記述のうち、適当でないものはどれか。
- 中央給湯方式の場合、配管は可能な限り最短経路とし、熱損失を防止する。
- 中央給湯方式に設ける膨張タンクには、密閉式と開放式がある。
- 湯沸室の給茶用の給湯には、一般的に、局所式給湯設備が採用される。
- ヒートポンプ給湯機は、出湯能力の表示として、「号」が用いられる。
過去問の解答を表示する
解答(4)
【No,19】排水設備に関する記述のうち、適当でないものはどれか。
- 排水立て管の管径は、下階になるに従い、排水負荷に応じて大きくする。
- 建物内で、汚水と雑排水を合流して流す方式を合流式という。
- 飲料水、食物、食器等を使用又は取り扱う機器からの排水は、間接排水とする。
- 大便器に接続する汚水管の最小管径は、75mmとする。
過去問の解答を表示する
解答(1)
【No,20】排水・通気設備に関する記述のうち、適当でないものはどれか。
- 伸頂通気管は、排水立て管の上部を通気管として延長し、大気に開放する。
- 通気管の末端は、建物外壁から大きく突き出している部分の下部に開放しない。
- 通気管は、排水系統内の空気の流れを円滑にし、トラップ封水が破壊されるのを防止する。
- ループ通気管は、床下で横引きし、直接通気立て管に接続する。
過去問の解答を表示する
解答(4)
【No,21】屋内消火栓設備に関する記述のうち、適当でないものはどれか。
- 一人で操作することができる屋内消火栓設備の消防用ホースは、保形ホースとする。
- 屋内消火栓箱には、その表面に「消火栓」と表示する。
- 加圧送水装置は、火災等の災害による被害を受けるおそれが少ない箇所に設ける。
- 易操作性1号消火栓は、消火栓箱で加圧送水装置の停止操作ができる。
過去問の解答を表示する
解答(4)
【No,22】ガス設備に関する記述のうち、適当でないものはどれか。
- 液化石油ガスは、常温・常圧では気体であるものに加圧等を行い、液化させたものである。
- マイコンガスメーターは、供給圧力が0.2kPaを下回っていることを継続して検知した場合等に遮断する機能を持つ。
- 液化石油ガスのバルク供給方式は、工場、集合住宅等に用いられ、一般住宅では使用できない。
- 充填量が10kg以上の液化石油ガスの容器は、鉄鎖等により建物その他の構築物に固定する。
過去問の解答を表示する
解答(3)
【No,23】FRP製浄化槽の施工に関する記述のうち、適当でないものはどれか。
- 寒冷地を除き、車庫、物置等の建築物内の設置は、できるだけ避ける。
- 深く掘りすぎて埋め戻すと、設置後に不等沈下するおそれがある。
- 槽に接続する流入管、流出管等は、管の敷設深さまで槽の周囲を埋め戻してから接続する。
- 槽の埋め戻しは、水張り試験の後、槽内の水を抜いてから行う。
過去問の解答を表示する
解答(4)
【過去問】No,24~28問 機器材料、設計図書

問題番号No,24からNo,28までの5問は必須問題となるので、全問を解答してください。
【No,24】加湿器に関する記述のうち、適当でないものはどれか。
- スプレー形加湿器は、ノズルで水を直接噴霧して加湿する。
- 気化式加湿器は、ノズルで蒸気を直接噴霧して加湿する。
- パン形加湿器は、電気ヒーターにより水を加熱蒸発させて加湿する。
- 超音波加湿器は、超音波振動子により水を霧化させて加湿する。
過去問の解答を表示する
解答(2)
【No,25】給湯機器に関する記述のうち、適当でないものはどれか。
- 密閉式のガス給湯器は、燃焼用の空気を屋内からとり、燃焼廃ガスは屋外に排出する機器である。
- 貯湯式電気温水器には、元止め式と先止め式がある。
- 元止め式のガス瞬間湯沸器は、本体の湯栓を操作して給湯するものである。
- ヒートポンプ給湯機は、大気中の熱エネルギーを給湯の加熱に利用するものである。
過去問の解答を表示する
解答(1)
【No,26】配管材料及び配管付属品に関する記述のうち、適当でないものはどれか。
- 玉形弁は、仕切弁に比べ、全開時の圧力損失が小さい。
- 水道用硬質ポリ塩化ビニル管の種類には、VPとHIVPがある。
- フレキシブルジョイントは、屋外埋設配管の建物導入部における変位吸収配管としても使用される。
- 排水用リサイクル硬質ポリ塩化ビニル管 (REP VU)は、使用済みの塩化ビニル管や塩化ビニル管継手をマテリアルリサイクルしたものである。
過去問の解答を表示する
解答(1)
【No,27】ダクト及びダクト附属品に関する記述のうち、適当でないものはどれか。
- シーリングディフューザーは、コーンに向かって吹き出された空気が室内空気を誘引しながら拡散する。
- 吸込口は、一般的に、固定羽根のものが使用される。
- 長方形ダクトの板厚は、長辺と短辺で使い分ける。
- 共板フランジ用ガスケットは、弾力性のあるものを使用する。
過去問の解答を表示する
解答(3)
【No,28】遠心送風機の機器仕様として設計図書に記載する項目のうち、適当でないものはどれか。
- 風量
- 風速
- 呼び番号
- 電動機容量
過去問の解答を表示する
解答(2)
【過去問】No,29~38問 施工管理法

問題番号No,29からNo,38までの10問のうち、8問を選択し解答してください。
【No,29】公共工事における施工計画等に関する記述のうち、適当でないものはどれか。
- 施工計画書は実際の施工方法、使用する機材等を具体的に文書にしたもので、設計図書と異なる施工方法等で承諾された事項も記載する。
- 標準仕様書と設計図面の内容に相違がある場合は、標準仕様書の内容を優先させる。
- 仮設とは、現場事務所や現場内で作業に必要な足場、仮設水道、照明等を設置することである。
- 設計図書及び工事関係図書は、監督員の承諾を受けた場合を除き、工事施工のために使用する以外の目的で第三者に使用させない。
過去問の解答を表示する
解答(2)
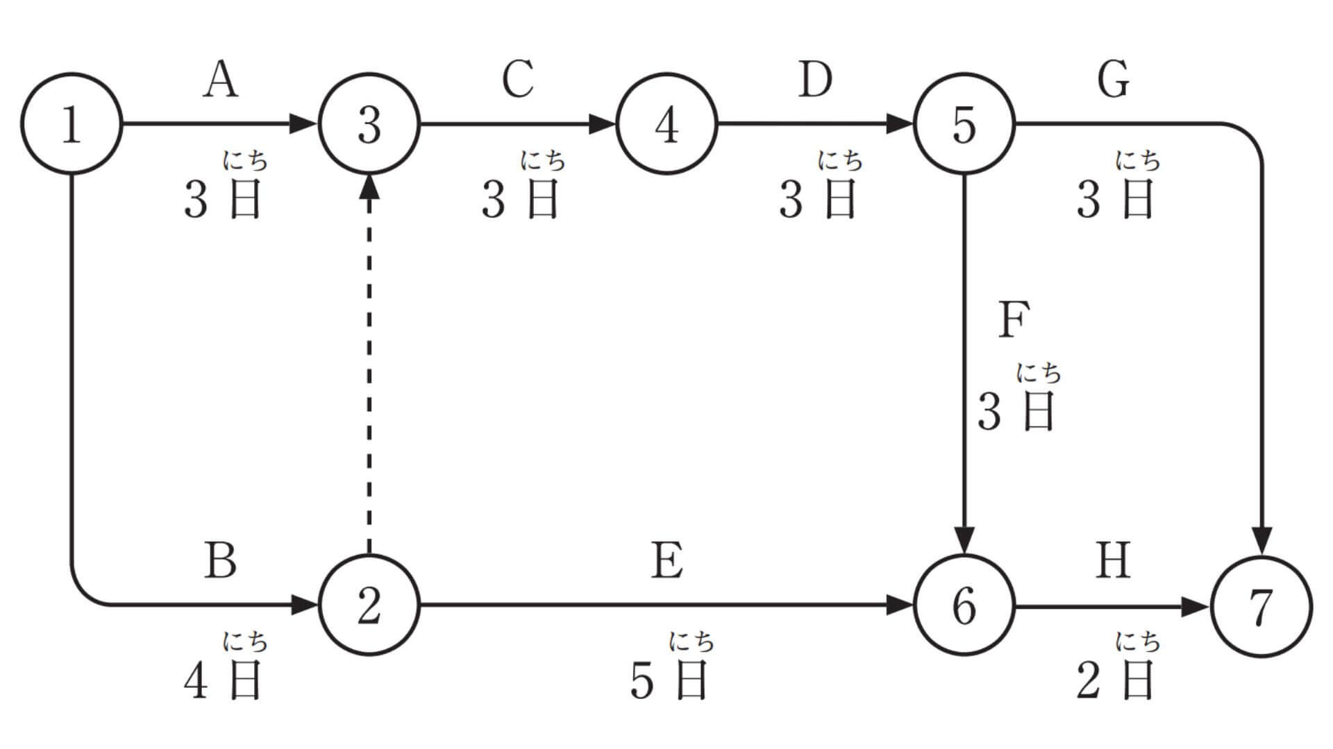
【No,30】下図に示すネットワーク工程表に関する記述のうち、適当でないものはどれか。 ただし、図中のイベント間のA~Hは作業内容、日数は作業日数を表す。

- 作業B終了後、作業Eの着手が4日遅れたが、全体の所要日数は変わらない。
- 作業Gの所要日数が2日増えたが、クリティカルパスの本数は変わらない。
- 作業Cは、作業Aが完了しても作業Bが完了しないと開始できない。
- クリティカルパスの所要日数は、15日である。
過去問の解答を表示する
解答(2)
【No,31】施工の品質を確認するための試験又は検査に関する記述のうち、適当でないものはどれか。
- 排水用水中モーターポンプの試験では、レベルスイッチからの信号により発停することを確認する。
- 防火区画を排水管が貫通する箇所において、貫通部の隙間がモルタルその他の不燃材料で埋められていることを確認する。
- 検査の方法には全数検査と抜取検査があり、ボイラー安全弁の作動試験は抜取検査で確認する。
- 完成時の立会検査には、契約書や設計図書の他、工事記録写真、試験運転記録等を用意しなければならない。
過去問の解答を表示する
解答(3)
【No,32】建設工事における安全管理に関する記述のうち、適当でないものはどれか。
- 建設工事の死亡災害は、墜落・転落よりも飛来・落下による事故が多い。
- 労働災害の発生原因には、人的原因である不安全な行動と、物的要因である不安全な状態がある。
- 建設工事に伴う災害には、被害が工事関係者に限定される労働災害と、被害が工事関係者以外の第三者に及ぶ公衆災害とがある。
- 重大災害とは、一時に3人以上の労働者が、業務上死傷又は罹病した災害をいう。
過去問の解答を表示する
解答(1)
【No,33】機器の据付けに関する記述のうち、適当でないものはどれか。
- ユニット形空気調和機のコンクリート基礎の高さは、ドレン管の排水トラップの深さが確保できるように、150mm程度とする。
- 揚水ポンプの吐出し側には、ポンプに近い順に、防振継手、仕切弁、逆止弁を取り付ける。
- 送風機は、レベルを水準器で確認し、水平が出ていない場合にはコンクリート基礎と共通架台の間にライナーを入れて調整する。
- アンカーボルトは、機器の据付け後、ボルト頂部のねじ山がナットから3山程度出る長さとする。
過去問の解答を表示する
解答(2)
【No,34】「配管材」と「主な接合方法」の組合せのうち、適当でないものはどれか。
- 配管用炭素鋼鋼管 ――――――――――― ねじ接合、フランジ接合、溶接接合
- 排水用硬質塩化ビニルライニング鋼管 ―― ねじ接合、溶接接合
- ステンレス鋼管 ―――――――――――― メカニカル接合、溶接接合
- 銅管 ――――――――――――――――― メカニカル接合、差込接合
過去問の解答を表示する
解答(2)
【No,35】ダクトの施工に関する記述のうち、適当でないものはどれか。
- コーナーボルト工法ダクトは、アングルフランジ工法ダクトとダクトの寸法が同一の場合、薄い板厚としてよい。
- 亜鉛鉄板製のスパイラルダクトは、一般的に、補強は不要である。
- 厨房の排気に長方形ダクトを使用する場合、ダクトの角の継目が下面とならないように取り付ける。
- ダクトに設けるリブ補強は、ダクトの変形や騒音及び振動の発生を防止するために設ける。
過去問の解答を表示する
解答(1)
【No,36】保温に関する記述のうち、適当でないものはどれか。
- 防火区画を貫通する配管、ダクトの保温は、その貫通する部分をロックウール保温材で行う。
- 保温の厚さは、保温材のみの厚さとし、補助材及び外装材の厚さは含まない。
- シートタイプの合成樹脂製カバーは、パンチ加工部をジョイナーに差込んで固定する。
- 排水管の屋外露出部は、原則として、保温を行わない。
過去問の解答を表示する
解答(3)
【No,37】試運転調整に関する記述のうち、適当でないものはどれか。
- 高置タンク方式の給水設備では、末端の給水栓において残留塩素の測定を行う。
- 屋外騒音の測定は、冷却塔等の騒音の発生源となる機器を運転して、敷地境界線上で行う。
- 渦巻ポンプの試運転では、グランドパッキン部からの水滴の滴下量が適切かどうか確認する。
- 多翼送風機の試運転では、吐出し側ダンパーが、全開になっていることを確認してから調整を開始する。
過去問の解答を表示する
解答(4)
【No,38】異種管の接合に関する記述のうち、適当でないものはどれか。
- 配管用炭素鋼鋼管と銅管の接合は、絶縁フランジ接合等とする。
- 配管用炭素鋼鋼管と硬質塩化ビニル管の接合は、バルブ用ソケット等を用いて接合する。
- ステンレス鋼管と銅管の接合は、フレア接合等とする。
- ステンレス鋼管と配管用炭素鋼鋼管の接合は、絶縁フランジ接合等とする。
過去問の解答を表示する
解答(3)
【過去問】No,39~48問 関連法規

問題番号No,39からNo,48までの10問のうち、8問を選択し解答してください。
【No,39】建設工事における安全管理体制に関する記述のうち「労働安全衛生法」上、誤っているものはどれか。
- 事業者は、移動はしごについては、幅30cm以上のものでなければ使用してはならない。
- 事業者は、酸素欠乏危険作業に労働者を従事させる場合は、当該作業を行う場所の空気中の酸素濃度を18%以上に保つように換気しなければならない。
- ボール盤、面取り盤等を使用する作業において、手の滑りを防止するため、滑り止めを施した手袋を労働者に着用させなければならない。
- 事業者は、足場(つり足場を除く。)における作業を行うときは、点検者を指名しなければならない。
過去問の解答を表示する
解答(3)
【No,40】労働に関する記述のうち、「労働基準法」上、誤っているものはどれか。
- 労働条件は、労働者と使用者が、対等の立場において決定すべきものである。
- 労働契約の締結の際に使用者から明示された労働条件が事実と相違する場合においては、労働者は、即時に労働契約を解除することができる。
- 未成年者の親権者又は後見人は、未成年者の賃金を代って受け取ってはならない。
- 出来高払制その他の請負制で使用する労働者については、使用者は、労働時間に応じ一定額の賃金の保障をする必要はない。
過去問の解答を表示する
解答(4)
【No,41】建築に関する記述のうち、「建築基準法」上、誤っているものはどれか。
- 作業のために継続的に使用する室は、居室である。
- 集会のために継続的に使用する室は、居室である。
- 屋外階段は、主要構造部である。
- はりは、主要構造部である。
過去問の解答を表示する
解答(3)
【No,42】建築物に設ける配管設備に関する記述のうち、「建築基準法」上、誤っているものはどれか。
- 水飲器の排水管は、建築物に設ける排水管に直接連結しなければならない。
- 給水立て主管からの各階への分岐管等主要な分岐管には、止水弁を設けなければならない。
- 雨水排水立て管は、汚水排水管若しくは通気管と兼用し、又はこれらの管に連結してはならない。
- 排水トラップは、二重トラップとしてはならない。
過去問の解答を表示する
解答(1)
【No,43】建設業の許可に関する記述のうち、「建設業法」上、誤っているものはどれか。
- 都道府県知事の許可を受けた建設業者と国土交通大臣の許可を受けた建設業者で、建設工事を請け負うことができる工事現場の所在地について、都道府県の範囲に関する違いはない。
- 都道府県知事の許可を受けた建設業者が営業所を設けることができるのは、許可を受けた都道府県の区域内に限られる。
- 建設業の許可を受けた建設業者が建設工事の一部を下請負人として請け負うとき、その下請契約の請負代金が一定額以下の場合は、主任技術者を置く必要はない。
- 一般建設業の許可を受けた建設業者が発注者から直接請け負う建設工事について、当該工事を施工するために締結する下請契約の請負代金の額の総額に上限はあるが、発注者との請負契約の請負金額の額に上限はない。
過去問の解答を表示する
解答(3)
【No,44】建設業の許可を受けた建設業者が、発注者から直接請け負った建設工事の現場に掲げなければならない標識の記載事項として、「建設業法」上、定められていないものはどれか。
- 商号又は名称
- 代表者の氏名
- 現場代理人の氏名
- 主任技術者又は監理技術者の氏名
過去問の解答を表示する
解答(3)
【No,45】屋内消火栓設備の加圧送水装置の方式のうち、「消防法」上、定められていないものはどれか。
- 高架水槽方式
- 圧力水槽方式
- ポンプ方式
- 水道直結方式
過去問の解答を表示する
解答(4)
【No,46】建築物に係る建設工事のうち、「建設工事に係る資材の再資源化等に関する法律」上、特定建設資材廃棄物をその種類ごとに分別しつつ施工しなければならない工事に該当しないものはどれか。ただし、都道府県が条例で、適用すべき建設工事の規模に関する基準を定めた区域を除く。
- 新築工事で床面積の合計が500m²であるもの
- 模様替工事で請負代金の額が1億円であるもの
- 耐震改修工事で請負代金の額が1億円であるもの
- 解体工事で解体部分の床面積の合計が40m²であるもの
過去問の解答を表示する
解答(4)
【No,47】「フロン類の使用の合理化及び管理の適正化に関する法律」上、第一種特定製品の管理者がフロン類の管理の適正化のために取り組むべき事項として、定められていないものはどれか。
- フロン類の破壊の実施及び破壊証明書の送付
- 簡易点検の実施
- 圧縮機を駆動する電動機の定格出力が一定規模以上のエアコンディショナーの定期点検の実施
- フロン類の漏えいを確認した場合にあっては、当該漏えいに係る点検及び当該点検により漏えい箇所が特定された場合には当該箇所の修理の実施
過去問の解答を表示する
解答(1)
【No,48】産業廃棄物に関する記述のうち、「廃棄物の処理及び清掃に関する法律」上、誤っているものはどれか。
- 事業者は、その事業活動に伴って生じた廃棄物の再生利用等を行うことにより、廃棄物の減量に努める責務がある。
- 建設発生土(建設工事に伴い副次的に得られた土砂)は、産業廃棄物である。
- 事業者が産業廃棄物(特別管理産業廃棄物を除く。)を処理する方法として、運搬を産業廃棄物収集運搬業者に、処分を産業廃棄物処分業者に委託する方法がある。
- 建築物等に用いられる材料であって石綿を含むもののうち石綿建材除去事業により除去された石綿保温材は、特別管理産業廃棄物である。
過去問の解答を表示する
解答(2)
【過去問】No,49~52問 施工管理法

問題番号No,49からNo,52までの4問は必須問題となるので、全問を解答してください。
【No,49】工程表に関する記述のうち、適当でないものはどれか。適当でないものは二つあるので、二つとも答えなさい。
- 同一作業を繰り返し行う工事では、タクト工程表を作成する。
- ガントチャート工程表は、縦軸に作業名、横軸に暦日 (工期)をとったものである。
- 総合工程表の作成では、季節・天候についての考慮は必要ない。
- ネットワーク工程表は、各作業の相互関係が把握しやすい。
過去問の解答を表示する
解答(2),(3)
【No,50】機器の据付けに関する記述のうち、適当でないものはどれか。適当でないものは二つあるので、二つとも答えなさい。
- 建物内に設置する飲料用受水タンク上部と天井との距離は、600mm以上とする。
- 防振基礎には、地震時の機器の移動や転倒防止のため、一般的に、耐震ストッパーを設ける。
- 小形軽量機器の基礎は、一般的に、躯体の床表面に目荒しを行い、水打ちのうえコンクリートを打設する。
- 高置タンクの架台の昇降タラップは、高さが1.8mを超える場合に転落防止防護柵が必要となる。
過去問の解答を表示する
解答(1),(4)
【No,51】配管及び配管附属品の施工に関する記述のうち、適当でないものはどれか。適当でないものは二つあるので、二つとも答えなさい。
- あとで取外しが必要な水栓類等のねじ接合材には、テープシール材を使用する。
- 呼び径65以下のステンレス鋼管の場合、形鋼振れ止め支持は、不要である。
- 配管用炭素鋼鋼管の溶接接合は、原則として、下向き溶接とする。
- 揚水管に防振継手を取り付けるのは、ウォーターハンマーを防止するためである。
過去問の解答を表示する
解答(2),(4)
【No,52】ダクト及びダクト附属品の施工に関する記述のうち、適当でないものはどれか。適当でないものは二つあるので、二つとも答えなさい。
- 遠心送風機の吐出し口直近においてダクトを曲げる場合は、送風機の回転方向と逆方向とする。
- 長辺が300mm以下の防火ダンパー本体の支持は、2点吊りとする。
- 厨房の排気ダクトの防火ダンパーは、温度ヒューズの作動温度を72℃とする。
- 風量測定口は、ダクトの長辺の寸法が300mmを超え700mm以下の場合、原則として、2個取り付ける。
過去問の解答を表示する
解答(1),(3)
2級管工事施工管理技士の過去問【まとめ】
2級管工事施工管理技士の他の年度の過去問と解答を紹介します。
| 過去問年度 | 1次検定(前期) | 1次検定(後期) |
|---|---|---|
| 2025年度(令和7年) | 1次検定(前期) 過去問/解答 | 1次検定(後期) 過去問/解答 |
| 2024年度(令和6年) | 1次検定(前期) 過去問/解答 | 1次検定(後期) 過去問/解答 |
| 2023年度(令和5年) | 1次検定(前期) 過去問/解答 | 1次検定(後期) 過去問/解答 |
| 2022年度(令和4年) | 1次検定(前期) 過去問/解答 | 1次検定(後期) 過去問/解答 |
| 2021年度(令和3年) | 1次検定(前期) 過去問/解答 | 1次検定(後期) 過去問/解答 |
| 2020年度(令和2年) | コロナで中止 | 学科試験(後期) 過去問/解答 |
| 2019年度(令和1年) | 学科試験(前期) 過去問/解答 | 学科試験(後期) 過去問/解答 |
| 2018年度(平成30年) | 学科試験(前期) 過去問/解答 | 学科試験(後期) 過去問/解答 |
| 2017年度(平成29年) | - | 学科試験 過去問/解答 |
| 2016年度(平成28年) | - | 学科試験 過去問/解答 |
| 2015年度(平成27年) | - | 学科試験 過去問/解答 |
| 2014年度(平成26年) | - | 学科試験 過去問/解答 |
| 2013年度(平成25年) | - | 学科試験 過去問/解答 |
| 2012年度(平成24年) | - | 学科試験 過去問/解答 |
| 2011年度(平成23年) | - | 学科試験 過去問/解答 |
| 2010年度(平成22年) | - | 学科試験 過去問/解答 |
2級管工事施工管理技士の過去問PDFは『2級管工事施工管理技士【過去問PDF】』からダウンロードして下さい。
2級管工事施工管理技士のおすすめの問題集

2級管工事施工管理技士の試験勉強に役立つおすすめの過去問集を紹介します!
地域開発研究所『2級管工事施工管理 第一次・第二次検定問題解説集』を購入すれば、2級管工事施工管理技士に合格できる知識を習得可能
2級管工事施工管理技士の定番中の定番である本書は、過去問11回分が網羅的に解説されており過去問の理解がしっかりとできる過去問題集となっています。




















